Bayesian Methods for Ecological and Environmental Modelling
All the same thing, increasing uncertainty. 
Measurements are a proxy for true process of interest. Connection between the two can be:
Measurements are a proxy for true process of interest. Connection between the two can be:
The stream flow rate \(Q\) is the product of the stream cross-sectional area and its velocity. A pressure transducer continuously records stream height \(h\) via the pressure, \(P_{\mathrm{stream}}\).
We have a series of four linear models:
\[\begin{align*} Q_{flow} =& \beta_1 + \beta_2 h_{stream} + \epsilon_1 \\ h_{stream} =& \beta_3 + \beta_4 P_{sensor} + \epsilon_2 \\ P_{sensor} =& \beta_5 + \beta_6 V_{sensor} + \epsilon_3 \\ V_{sensor} =& \beta_7 + \beta_8 V_{logger} + \epsilon_4 \end{align*}\]
We effectively assume these models are perfect and the error terms \(\epsilon\) 1-4 are zero.
This is a relatively simple case, and some of these errors may well be negligible. Many cases are not so simple.
We can substitute one model in another:
\[\begin{align*} \label{eq:strr} Q_{flow} =& \beta_1 + \beta_2 (\beta_3 + \beta_4 P_{sensor} + \epsilon_2) + \epsilon_1 \\ P_{sensor} =& \beta_5 + \beta_6 V_{sensor} + \epsilon_3 \\ V_{sensor} =& \beta_7 + \beta_8 V_{logger} + \epsilon_4 \end{align*}\]
to give a single model:
\[\begin{align*} \label{eq:stream3} Q_{flow} = \beta_1 +& \beta_2 (\beta_3 + \beta_4 (\beta_5 + \beta_6 (\beta_7 + \beta_8 V_{logger} \\ +& \epsilon_4) + \epsilon_3) + \epsilon_2) + \epsilon_1 \end{align*}\]
Measurements are a proxy for true process of interest. Connection between the two can be:
Measurements are a proxy for true process of interest. Connection between the two can be:
Measurements are a proxy for true process of interest. Connection between the two can be:
Often, true process of interest is a larger-scale property (e.g. annual sum, regional mean)

But uncertainty often not propagated. Leads to results with:
But uncertainty often not propagated. Leads to:
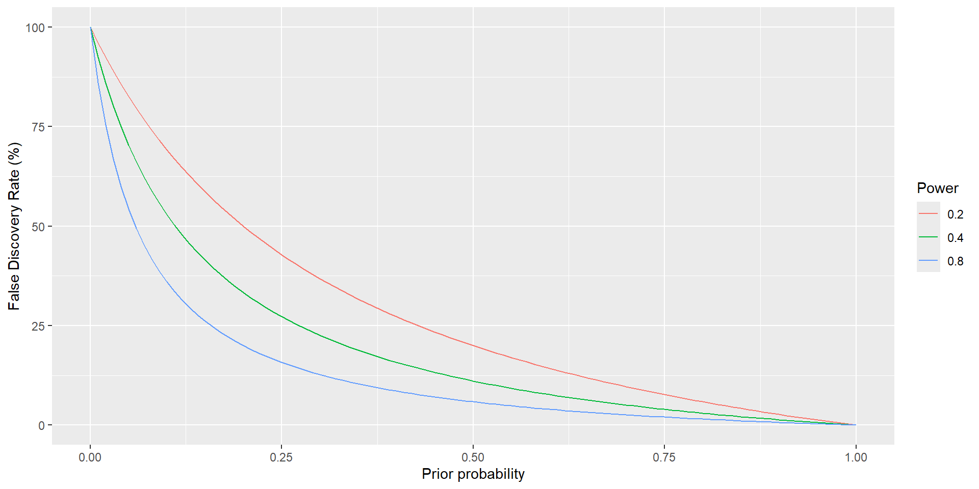
High “false discovery rates”, often much higher than 5 %


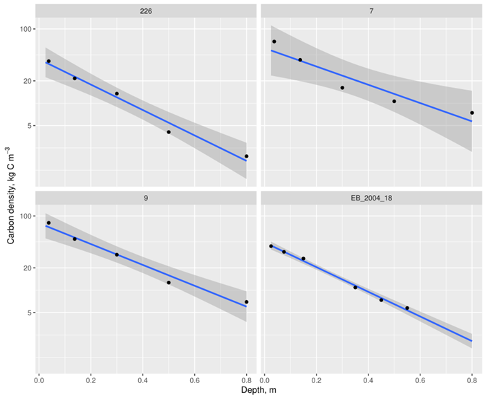
Motivation: increasing carbon sequestration in the soil is a potential means to offset greenhouse gas emissions
Take soil cores 

\(\mathrm{log} C = \alpha + \beta \times \mathrm{depth}\)

Extrapolate samples to whole field with spatial model
\(\mu_{\mathrm{field}} = f(\theta, C_{\mathrm{samples}})\)
It gets worse.
Estimating false discovery rates
Propagating uncertainty


We can only see 5% of the universe.
Don’t focus on testing a null hypothesis.
Pre-register and publish all results.

2016
2019
Stop using p values and “statistical significance”.
Ignoring uncertainties leads to:
The Bayesian approach:
“All models are wrong, but some are useful.”
George Box, 1976.

“All models are wrong, but some are useful.”
George Box, 1976.

“All data are wrong, but some are useful.”
